책 소개
책 소개
지난 20세기가 양자역학의 시대였다면, 바야흐로 21세기는 양자광학의 시대라 할 수 있다. 양자광학은 빛과 물질의 상호작용을 다루는 근본 이론이며, 또한 양자인터넷과 양자컴퓨터를 구현하는 다양한 양자기술의 가장 기초 이론이다. 이 책은 양자광학에 관심 있는 모든 학생들에게 좋은 출발점으로, 탁월한 설명과 적절한 난이도의 연습문제, 그리고 참고문헌을 제공한다.
내용 소개
1. 양자광학의 범위와 의의
양자광학은 빛과 물질의 상호작용을 양자역학적으로 다루는 학문으로, 결맞음과 얽힘 같은 핵심 현상을 실험적으로 구현하고 응용하는 기반을 제공한다. 이 교재는 공진기 단일·다중 모드 장의 양자화와 양자 위상, 결맞은 상태 등 기초를 체계적으로 다루며 학부 고학년과 대학원 초·중급 학습자를 대상으로 설계됐다. 역사적 맥락에서 플랑크와 아인슈타인, 디랙, 글로버 등의 공헌을 짚고 레이저, SPDC, 압착광, 공진기 QED, 이온 덫으로 이어지는 발전을 정리한다. 풍부한 연습문제와 참고문헌, 더 읽을거리를 통해 자율 학습과 강의 운영 모두에 적합하도록 구성됐다. 결과적으로 양자컴퓨팅, 양자암호, 양자통신 같은 차세대 기술을 이해하는 출발점이 된다.
2. 핵심 이론과 실험 도구
장 양자화에서는 단일·다중 모드, 직각 연산자, 열적 장, 진공 요동과 영점에너지, 양자 위상을 다루며, 결맞은 상태 장에서는 변위 연산자, 최소 불확정성, 위상공간 묘사와 위그너 함수, 홀짝성 연산자를 연결한다. 원자–장 상호작용은 라비 모델과 제인스‑커밍스 모형을 중심으로 고전장과 양자장과의 결합, 분산적 상호작용, 슈미트 분해와 폰 노이만 엔트로피까지 확장한다. 빛살가르개와 간섭계 장에서는 단일 광자 간섭과 SU(2) 형식화, 임의 수 상태 입력의 출력 해석, 상호작용 없는 측정 등 정밀 간섭 측정을 설명한다. 비고전적 빛 단원은 압착광 생성·검출, 반뭉침, 고양이 상태, 비가우스 상태 공학 등 저잡음·고정보 광원을 다룬다. 소산과 결어긋남에서는 손실의 가상 빛살가르개 모형화, 세 준위 동역학, 결잃은 상태에서의 결맞음 생성까지 포함해 열린계 거동을 정량화한다.
3. 검증, 응용, 그리고 2판의 확장
양자역학의 광학적 검증 파트는 SPDC 광원, HOM 간섭, 양자 지우개, 벨 부등식 위반, 프랑손 실험 등을 통해 비국소성과 간섭의 본질을 실험적으로 점검한다. 공진기 QED와 이온 덫 장치는 리드버그 원자와 공진기 결합, JC 모형의 실험 구현, 얽힘 생성, QND 계측, 포획 이온 기반 게이트로 양자상태 제어와 판독을 제시한다. 응용 파트는 신호불가·복제불가 정리, 하이젠베르크 한계급 간섭계, 양자 원격전송, QKD(BB84, B92, Ekert), QRNG, 광학적 양자 게이트, 결어긋남과 오류 보정을 연결한다. 2판에서는 양자 위상 연산자 보강, 위그너–홀짝성 연계 심화, SU(2) 형식 확장, 가우스/비가우스 구분과 광자 수준 상태 가공, 손실 모형화 재작성, N00N 상태와 홀짝성 계측, QRNG 항목 추가 등 최신 내용을 대폭 반영했다. 전반적으로 이론의 일관된 수학적 틀과 대표 실험을 짝지어, 학습자가 현대 양자광학과 양자정보의 교차 영역을 실질적으로 익히도록 안내한다.
추천의 글
“양자기술은 연구실에서 상업 영역으로 빠르게 이동하고 있다. 과학자와 공학자는 양자역학이 실제 응용에 어떤 변화를 가져오는지 이해하기 위해 새로운 언어를 배우는 중이다. 내가 이 책을 사랑하는 이유는 수학을 넘어 직관적이면서도 비직관적인 과학의 양 측면을 균형 있게 강조해, 양자과학에서 양자기술로의 전환을 이해하는 데 탄탄한 기초를 제공하기 때문이다.”
-마일스 파짓(Miles Padgett) / 영국 왕립학회 회원, 영국 글래스고 대학교 교수
“양자역학의 근본적 측면에 대한 광학적 검증, 하이젠베르크 한계 측정, 양자 게이트, 결맞음과 같은 핵심 주제를 폭넓게 다루면서도 심오한 개념을 놀라울 정도로 간결하게 설명한다. 21세기의 새로운 양자 혁명에 관심 있는 사람이라면 누구나 책장에 꽂아두어야 할 책이다.”
-기리쉬 아가왈(Girish S. Agarwal) / 영국 왕립학회 회원, 미국 텍사스 A&M 대학교 교수
목차
목차
- 제1장 소개
- 1.1 이 책의 범위와 목표
- 1.2 역사
- 1.3 이 책의 내용
- 참고문헌
- 더 읽을거리
- 제2장 장 양자화
- 2.1 단일모드 장의 양자화
- 2.2 단일모드 장의 양자 요동
- 2.3 단일모드 장에 대한 직각연산자
- 2.4 다중 모드 장
- 2.5 열적인 장
- 2.6 진공 요동과 영점에너지
- 2.7 양자 위상
- 연습문제
- 참고문헌
- 더 읽을거리
- 제3장 결맞은 상태
- 3.1 소멸 연산자의 고유상태와 최소 불확정성 상태
- 3.2 변위된 진공상태
- 3.3 파동 패킷과 시간 변화
- 3.4 결맞은 상태의 생성
- 3.5 결맞은 상태의 여러 성질
- 3.6 결맞은 상태의 위상공간 묘사
- 3.7 밀도 연산자와 위상공간 확률분포
- 3.8 광자 수 홀짝성 연산자와 위그너 함수
- 3.9 특성 함수
- 연습문제
- 참고문헌
- 더 읽을거리
- 제4장 원자에 의한 빛의 흡수와 방출
- 4.1 원자-장 상호작용
- 4.2 원자와 고전적 장의 상호작용
- 4.3 원자와 양자장의 상호작용
- 4.4 라비 모형
- 4.5 완전히 양자역학적인 모형: 제인스-커밍스 모형
- 4.6 꾸민 상태
- 4.7 밀도 연산자 접근법: 열적인 상태에 응용하기
- 4.8 큰 어긋남을 갖는 제인스-커밍스 모형: 분산적 상호작용
- 4.9 제인스-커밍스 모형의 확장
- 4.10 제인스-커밍스 모형의 슈미트 분해와 폰 노이만 엔트로피
- 연습문제
- 참고문헌
- 더 읽을거리
- 제5장 양자 결맞음 함수
- 5.1 고전 결맞음 함수
- 5.2 양자 결맞음 함수
- 5.3 영의 간섭 실험
- 5.4 고차 결맞음 함수
- 연습문제
- 참고문헌
- 더 읽을거리
- 제6장 빛살가르개와 간섭계
- 6.1 단일 광자를 사용한 실험
- 6.2 빛살가르개의 양자역학
- 6.3 단일 광자의 간섭 측정
- 6.4 상호작용 없는 측정
- 6.5 결맞은 빛을 사용한 간섭계
- 6.6 빛살가르개와 간섭계의 SU(2) 형식화
- 6.7 변위연산자로서의 빛살가르개
- 6.8 광자는 간섭하지 않는다
- 6.9 광자는 얽혀 있는가?
- 연습문제
- 참고문헌
- 더 읽을거리
- 제7장 비고전적 빛
- 7.1 압착된 직각상태
- 7.2 직각연산자 압착광의 생성
- 7.3 직각연산자 압착광의 검출
- 7.4 압착된 진폭(또는 수) 상태
- 7.5 광자 반뭉침
- 7.6 슈뢰딩거 고양이 상태
- 7.7 압착된 두 모드 진공상태
- 7.8 광대역 압착광
- 7.9 짝맞은 결맞은 상태
- 7.10 빛살가르개를 통한 얽힘 생성
- 7.11 양자상태 가공: 광자 수준 연산에 의한 비고전적 상태 생성
- 연습문제
- 참고문헌
- 더 읽을거리
- 제8장 소산적 상호작용과 결어긋남
- 8.1 소개
- 8.2 하나의 실체인가, 아니면 앙상블인가?
- 8.3 개별적 구현
- 8.4 세 준위 원자에서 보류와 점멸의 동역학
- 8.5 손실을 가상의 빛살가르개로 모형화하기
- 8.6 결어긋남
- 8.7 결잃은 상태에서 결맞은 상태의 생성: 광학적 균형
- 8.8 결론
- 연습문제
- 참고문헌
- 더 읽을거리
- 제9장 양자역학의 광학적 검증
- 9.1 광자 소스: 자발적 매개하향변환
- 9.2 홍-오우-만델(HOM) 간섭계
- 9.3 양자 지우개
- 9.4 유도된 결맞음
- 9.5 광자의 초광속 터널링
- 9.6 국소적 실재론과 벨 정리의 광학적 검증
- 9.7 프랜슨의 실험
- 9.8 하향변환된 광원을 사용한 절대적 표준 없는 측정법
- 연습문제
- 참고문헌
- 더 읽을거리
- 제10장 공진기 QED와 이온 덫 실험
- 10.1 리드버그 원자
- 10.2 공진기 장과 상호작용하는 리드버그 원자
- 10.3 제인스-커밍스 모형의 실험적 구현
- 10.4 CQED로 얽힌 원자 생성하기
- 10.5 분산적 원자-장 상호작용을 갖는 슈뢰딩거 고양이 상태 형성과 양자에서 고전으로의 결어긋남
- 10.6 광자 수의 양자 비파괴 측정
- 10.7 공명상태 제인스-커밍스 모형의 양자상태 가공
- 10.8 포획된 이온의 움직임에서 제인스-커밍스 상호작용의 구현
- 10.9 맺음말
- 연습문제
- 참고문헌
- 더 읽을거리
- 제11장 얽힘의 응용: 하이젠베르크 한계급 간섭계와 양자정보처리
- 11.1 얽힘의 장점
- 11.2 두 가지 진행불가 정리: 신호불가와 복제불가
- 11.2.1 신호불가 정리
- 11.2.2 복제불가 정리
- 11.3 얽힘과 간섭계를 이용한 측정
- 11.4 양자 원격전송
- 11.5 암호론
- 11.6 비밀 키 암호체계
- 11.7 공개 키 암호체계
- 11.8 양자 난수 생성기
- 11.9 양자암호 이론
- 11.9.1 양자 키 분배
- 11.9.2 BB84 통신규약
- 11.9.3 B92 통신규약
- 11.9.4 에커트 통신규약
- 11.10 양자통신의 미래 전망
- 11.11 양자계산을 위한 게이트
- 11.12 양자 게이트의 광학적 구현
- 11.13 결어긋남과 양자 오류 보정
- 연습문제
- 참고문헌
- 더 읽을거리
- 부록 A 밀도 연산자, 얽힌 상태, 슈미트 분해, 폰 노이만 엔트로피
- 부록 B 양자 측정 이론의 (엄청나게 간단한) 요약
- 부록 C 분산적인(공명 조건에서 멀리 떨어진) 상호작용에 대한 유효 해밀토니안의 유도
- 부록 D 비선형 광학과 자발 매개하향변환
도서 오류 신고
정오표
정오표
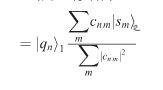
[p.402 위에서 8행]
참고문헌 30의 그래프와 비교하라.
->
참고문헌 36의 그래프와 비교하라.
[p.404 참고문헌 36 추가]
36. S. M. Barnett and P. L. Knight, Phys. Rev. A 33, 2444 (1986); R. R. Puri and G. S. Agarwal, Phys. Rev. A 33, R3610 (1986); 35, 3433 (1997)
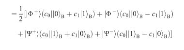
[p.424 식(11.39) 2-3행]

->
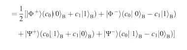
[p.478 식(B.12) 2-3행]

->


